Detalle
-
Baños:
1.00 -
Superficie construida:
44.00 m² -
Clave CRM:
EB-SK9276
Descripción
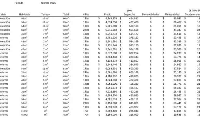
Precioso loft o departamento nuevo, de diseñador, con terraza y vista espectacular al monumento a la revolución.
Desde 44mts hasta 88 mts y de una o dos recámaras.
Edificio cuenta amenidades como gimnasio, co working, garden lounge, salón de yoga y bici estacionamiento. Muy importante, el edificio tiene estructura y cimientos aticismos.
